Упр.763 ГДЗ Макарычев Миндюк 9 класс (Углубленный) (Алгебра)
Решение #1

Рассмотрим вариант решения задания из учебника Макарычев, Миндюк, Нешков 9 класс, Просвещение:
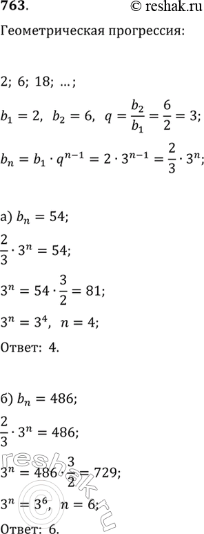
763. Встретится ли среди членов геометрической прогрессии 2, 6, 18, ... число: а) 54; б) 486; в) 72; г) 576?
Если число является членом данной геометрической прогрессии, то укажите его номер.
*размещая тексты в комментариях ниже, вы автоматически соглашаетесь с пользовательским соглашением