№918 ГДЗ Атанасян 7-9 класс по геометрии (Геометрия)

Решение #1

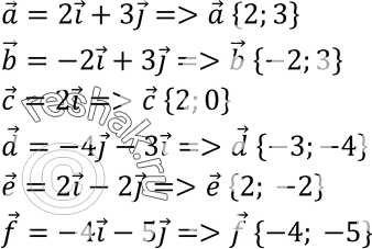
Изображение Разложите векторы а, b, с, d, е и f, изображённые на рисунке 276, а, б, в, по координатным векторам i и j и наидите их...

Рассмотрим вариант решения задания из учебника Атанасян, Бутузов 9 класс, Просвещение:
Разложите векторы а, b, с, d, е и f, изображённые на рисунке 276, а, б, в, по координатным векторам i и j и наидите их координаты.
*Цитирирование задания со ссылкой на учебник производится исключительно в учебных целях для лучшего понимания разбора решения задания.
*размещая тексты в комментариях ниже, вы автоматически соглашаетесь с пользовательским соглашением