Упр.33 ГДЗ Алимов 10-11 класс (Алгебра)

Решение #1

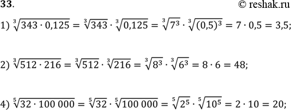
Изображение 33. 1) корень 3 степени (343*0,125);2) корень 3 степени (512*216);3) корень 5 степени (32*100...

Решение #2

Изображение 33. 1) корень 3 степени (343*0,125);2) корень 3 степени (512*216);3) корень 5 степени (32*100...
Загрузка...

Рассмотрим вариант решения задания из учебника Алимов, Колягин, Ткачёва 10 класс, Просвещение:
33. 1) корень 3 степени (343*0,125);
2) корень 3 степени (512*216);
3) корень 5 степени (32*100 000);
*Цитирирование задания со ссылкой на учебник производится исключительно в учебных целях для лучшего понимания разбора решения задания.
*размещая тексты в комментариях ниже, вы автоматически соглашаетесь с пользовательским соглашением