Упр.431 ГДЗ Алимов 10-11 класс (Алгебра)
Решение #1
Решение #2

Рассмотрим вариант решения задания из учебника Алимов, Колягин, Ткачёва 10 класс, Просвещение:
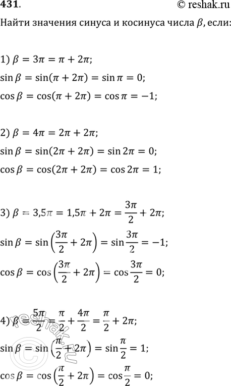
431 Найти значения синуса и косинуса числа Р, если:
1) b=3пи;
2) b=4пи;
3) b=3,5пи;
4) b=5пи/2;
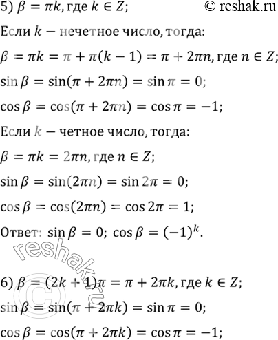
5) b=пиk, k принадлежит Z;
6) b=(2k+1)пи, k принадлежит Z.
*размещая тексты в комментариях ниже, вы автоматически соглашаетесь с пользовательским соглашением