Упр.995 ГДЗ Алимов 10-11 класс (Алгебра)
Решение #1
Решение #2

Рассмотрим вариант решения задания из учебника Алимов, Колягин, Ткачёва 11 класс, Просвещение:
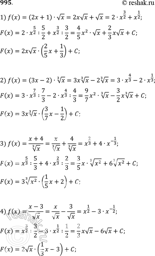
995 1)(2x+1) корень x;
2) (3x-2) корень 3 степени x;
3) (x+4)/корень 3 степени x;
4) (x-3)/ корень x.
*размещая тексты в комментариях ниже, вы автоматически соглашаетесь с пользовательским соглашением