Упр.1068 ГДЗ Макарычев Миндюк 9 класс (Алгебра)
Решение #1
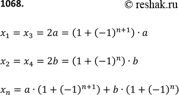
Решение #2

Рассмотрим вариант решения задания из учебника Макарычев, Миндюк, Нешков 9 класс, Просвещение:
1068 В последовательности (хn) каждый член с нечётным номером равен 2а, а с чётным равен 2b. Напишите формулу n-го члена этой последовательности.
*размещая тексты в комментариях ниже, вы автоматически соглашаетесь с пользовательским соглашением