Упр.1089 ГДЗ Макарычев Миндюк 9 класс (Алгебра)
Решение #1
Решение #2

Рассмотрим вариант решения задания из учебника Макарычев, Миндюк, Нешков 9 класс, Просвещение:
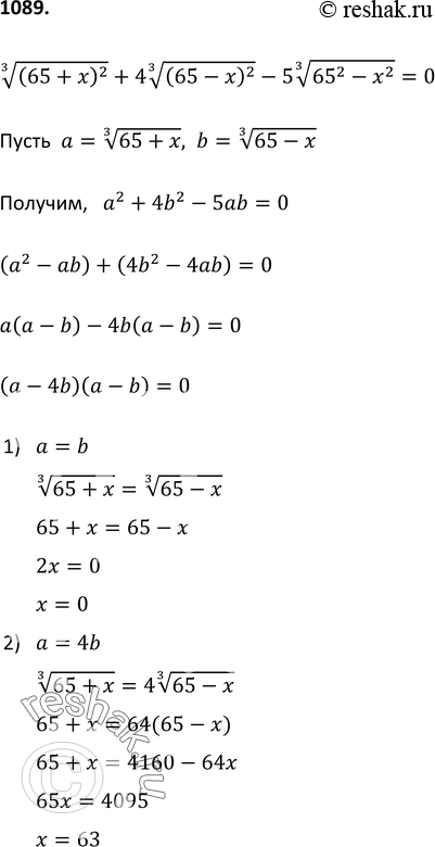
1089 Решите уравнение
корень 3 степени (65 + x)2 + 4 корень 3 степени (65 - x)2 - 5 корень 3 степени 65^2- х2 = 0.
*размещая тексты в комментариях ниже, вы автоматически соглашаетесь с пользовательским соглашением