Упр.207 ГДЗ Макарычев Миндюк 9 класс (Алгебра)
Решение #1

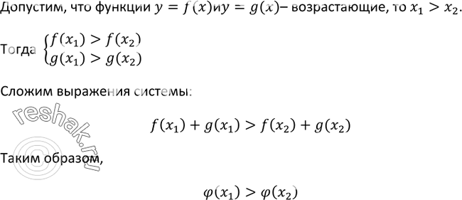
Рассмотрим вариант решения задания из учебника Макарычев, Миндюк, Нешков 9 класс, Просвещение:
207. Известно, что у = f(x) и у = g(x) — возрастающие (убывающие) функции. Докажите, что функция фи (х) = f(x) + g(x) является возрастающей (убывающей) функцией.
*размещая тексты в комментариях ниже, вы автоматически соглашаетесь с пользовательским соглашением