Упр.782 ГДЗ Макарычев Миндюк 9 класс (Алгебра)
Решение #1

Рассмотрим вариант решения задания из учебника Макарычев, Миндюк, Нешков 9 класс, Просвещение:
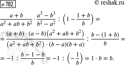
782. Упростите выражение
a+b/a^2+ab+b^2 * a^3-b^3/b^2-a^2 : (1-1+b/b)
*размещая тексты в комментариях ниже, вы автоматически соглашаетесь с пользовательским соглашением