Упр.1457 ГДЗ Алимов 10-11 класс (Алгебра)
Решение #1
Решение #2

Рассмотрим вариант решения задания из учебника Алимов, Колягин, Ткачёва 11 класс, Просвещение:
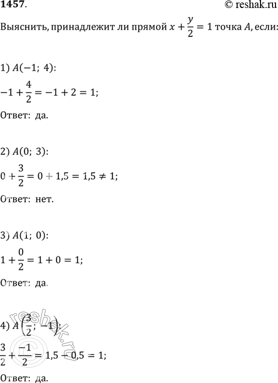
1457 Выяснить, принадлежит ли прямой х + y/2 =1 точка А:
1)А(-1;4);
2) А (0; 3);
3) А(1; 0);
4) A(3/2;-1).
*размещая тексты в комментариях ниже, вы автоматически соглашаетесь с пользовательским соглашением