Упр.1455 ГДЗ Алимов 10-11 класс (Алгебра)
Решение #1
Решение #2

Рассмотрим вариант решения задания из учебника Алимов, Колягин, Ткачёва 11 класс, Просвещение:
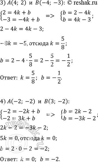
1455 Найти коэффициенты k и b линейной функции у = kx + b, если её график проходит через точки А и 5:
1) А(-1; -2), В(3; 2);
2) А (2; 1), 5(1; 2);
3) А (4; 2), В (-4; -3);
4) А (-2; -2), В (3; -2).
*размещая тексты в комментариях ниже, вы автоматически соглашаетесь с пользовательским соглашением