Упр.657 ГДЗ Алимов 10-11 класс (Алгебра)
Решение #1
Решение #2

Рассмотрим вариант решения задания из учебника Алимов, Колягин, Ткачёва 10 класс, Просвещение:
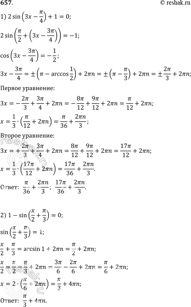
657. 1) 2sin(3x-пи/4)+1=0;
2) 1-sin(x/2+пи/3)=0;
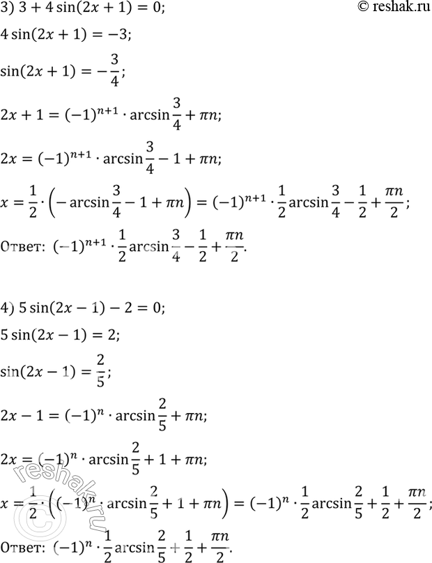
3) 3+4sin(2x+1)=0;
4) 5sin(2x-1)-2=0.
*размещая тексты в комментариях ниже, вы автоматически соглашаетесь с пользовательским соглашением