Упр.1009 ГДЗ Макарычев Миндюк 9 класс (Алгебра)

Решение #1

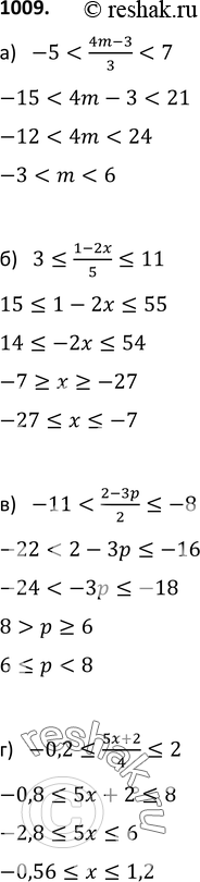
Изображение Упр.1009 ГДЗ Макарычев Миндюк 9 класс

Решение #2

Изображение Упр.1009 ГДЗ Макарычев Миндюк 9 класс
Дополнительное изображение
Дополнительное изображение
Загрузка...

Рассмотрим вариант решения задания из учебника Макарычев, Миндюк, Нешков 9 класс, Просвещение:
1009. Решите двойное неравенство:
*Цитирирование задания со ссылкой на учебник производится исключительно в учебных целях для лучшего понимания разбора решения задания.
*размещая тексты в комментариях ниже, вы автоматически соглашаетесь с пользовательским соглашением