Упр.1049 ГДЗ Макарычев Миндюк 9 класс (Алгебра)
Решение #1
Решение #2

Рассмотрим вариант решения задания из учебника Макарычев, Миндюк, Нешков 9 класс, Просвещение:
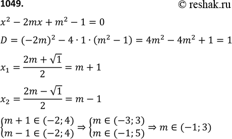
1049 При каком значении m корни уравнения х - 2mх + m2 -1 = 0 принадлежат интервалу (-2; 4)?
*размещая тексты в комментариях ниже, вы автоматически соглашаетесь с пользовательским соглашением