Упр.1050 ГДЗ Макарычев Миндюк 9 класс (Алгебра)
Решение #1
Решение #2

Рассмотрим вариант решения задания из учебника Макарычев, Миндюк, Нешков 9 класс, Просвещение:
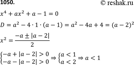
1050. При каких значениях а биквадратное уравнение х4 + ах2 + а - 1=0 имеет лишь два различных корня?
*размещая тексты в комментариях ниже, вы автоматически соглашаетесь с пользовательским соглашением