Упр.1057 ГДЗ Макарычев Миндюк 9 класс (Алгебра)
Решение #1
Решение #2

Рассмотрим вариант решения задания из учебника Макарычев, Миндюк, Нешков 9 класс, Просвещение:
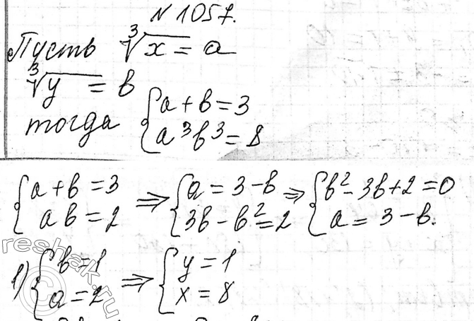
1057. Решите систему уравнений
корень 3 степени x + корень 3 степени y=3,
xy=8.
*размещая тексты в комментариях ниже, вы автоматически соглашаетесь с пользовательским соглашением