Упр.1056 ГДЗ Макарычев Миндюк 9 класс (Алгебра)
Решение #1
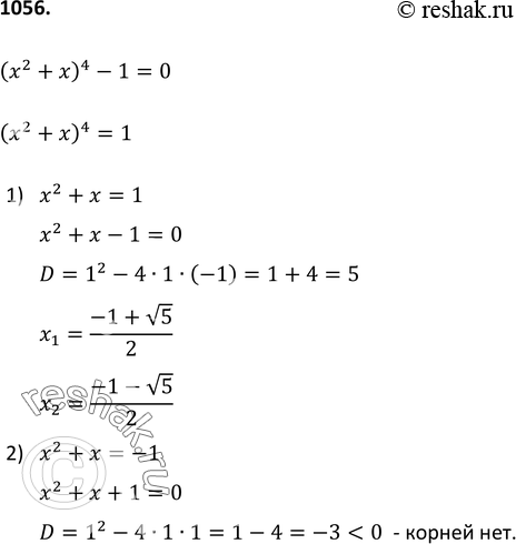
Решение #2

Рассмотрим вариант решения задания из учебника Макарычев, Миндюк, Нешков 9 класс, Просвещение:
1056 Решите уравнение (х2 + х)4 -1=0.
*размещая тексты в комментариях ниже, вы автоматически соглашаетесь с пользовательским соглашением