Упр.352 ГДЗ Макарычев Миндюк 9 класс (Алгебра)
Решение #1
Решение #2

Рассмотрим вариант решения задания из учебника Макарычев, Миндюк, Нешков 9 класс, Просвещение:
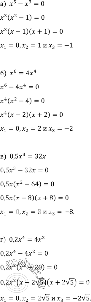
352. Решите уравнение:
а) х5 - х3 = 0; б) х6 = 4x4; в) 0,5x3 = 32x; г) 0,2x4 = 4x2.
*размещая тексты в комментариях ниже, вы автоматически соглашаетесь с пользовательским соглашением