Упр.490 ГДЗ Макарычев Миндюк 9 класс (Алгебра)

Решение #1

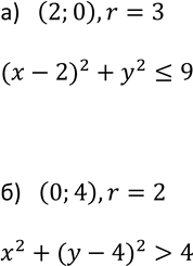
Изображение 490. Задайте неравенством с двумя переменными:а) круг с центром в точке (2; 0) и радиусом, равным 3;б) множество точек, расположенных вне круга с центром точке (0;...

Решение #2

Изображение 490. Задайте неравенством с двумя переменными:а) круг с центром в точке (2; 0) и радиусом, равным 3;б) множество точек, расположенных вне круга с центром точке (0;...
Загрузка...

Рассмотрим вариант решения задания из учебника Макарычев, Миндюк, Нешков 9 класс, Просвещение:
490. Задайте неравенством с двумя переменными:
а) круг с центром в точке (2; 0) и радиусом, равным 3;
б) множество точек, расположенных вне круга с центром точке (0; 4) и радиусом, равным 2.
*Цитирирование задания со ссылкой на учебник производится исключительно в учебных целях для лучшего понимания разбора решения задания.
*размещая тексты в комментариях ниже, вы автоматически соглашаетесь с пользовательским соглашением