Упр.527 ГДЗ Макарычев Миндюк 9 класс (Алгебра)
Решение #1

Рассмотрим вариант решения задания из учебника Макарычев, Миндюк, Нешков 9 класс, Просвещение:
527. Решите систему уравнений:
а) система
x+3y=-1,
x2+2xy+y=3;
б) система
2x-y=1,
xy-y2+3x=-1;
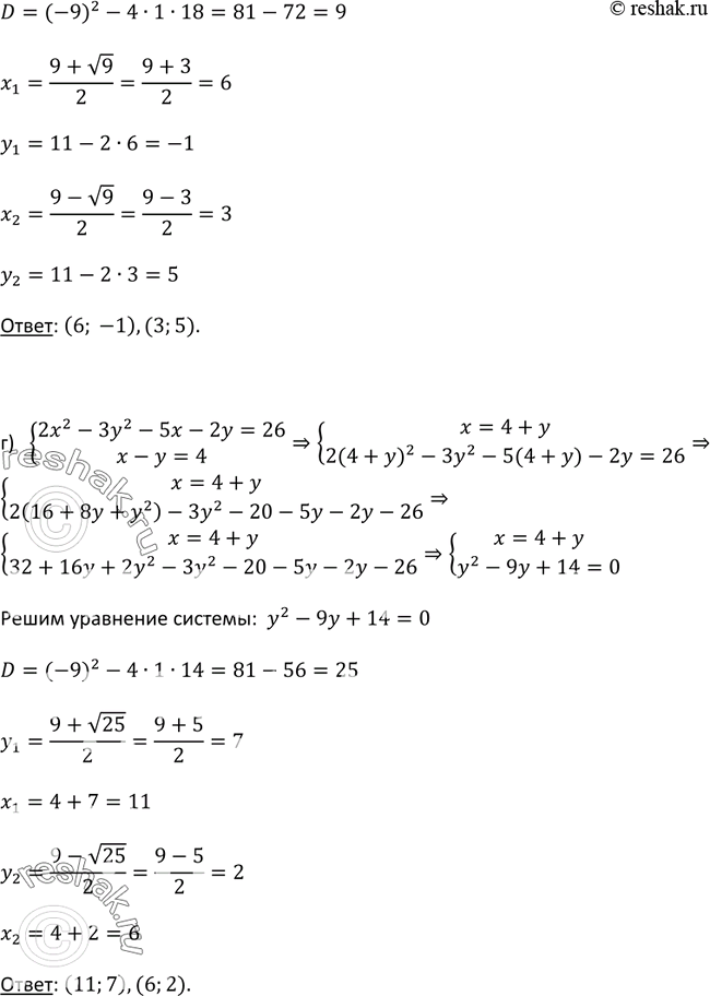
в) система
2x+y-11=0,
2x+5y-y2-6=0;
г) система
2x2-3y2-5x-2y=26,
x-y=4;
д) система
4x2-9y2+x-40y=19,
2x-3y=5;
е) система
3x2+y2+8x+13y=5,
x-y+2=0.
*размещая тексты в комментариях ниже, вы автоматически соглашаетесь с пользовательским соглашением