Упр.533 ГДЗ Макарычев Миндюк 9 класс (Алгебра)

Решение #1

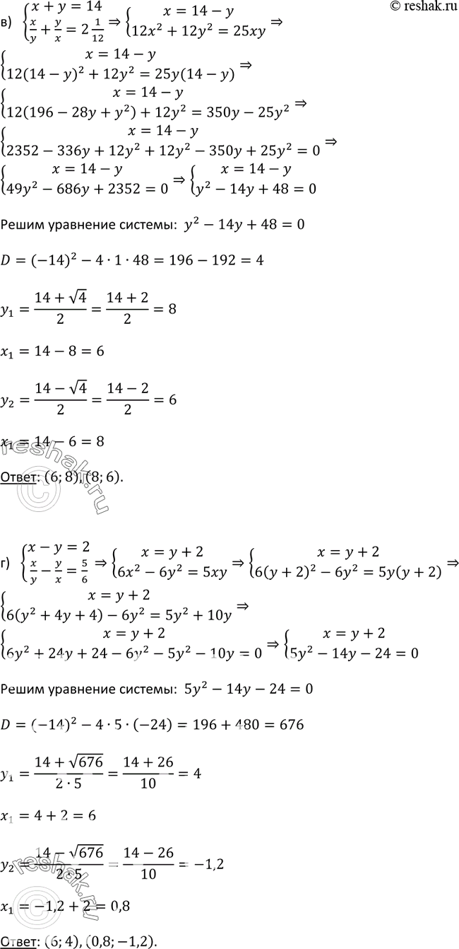
Изображение 533. Решите систему уравнений:а) система1/x+1/y=1/6,2x-y=5;б) система1/x-1/y=1/20,x+2y=14; в) системаx+y=14,x/y+y/x=2*1/2;г)...
Дополнительное изображение

Решение #2

Изображение 533. Решите систему уравнений:а) система1/x+1/y=1/6,2x-y=5;б) система1/x-1/y=1/20,x+2y=14; в) системаx+y=14,x/y+y/x=2*1/2;г)...
Дополнительное изображение
Дополнительное изображение
Загрузка...

Рассмотрим вариант решения задания из учебника Макарычев, Миндюк, Нешков 9 класс, Просвещение:
533. Решите систему уравнений:
а) система
1/x+1/y=1/6,
2x-y=5;
б) система
1/x-1/y=1/20,
x+2y=14;
в) система
x+y=14,
x/y+y/x=2*1/2;
г) система
x-y=2,
x/y-y/x=5/6.
*Цитирирование задания со ссылкой на учебник производится исключительно в учебных целях для лучшего понимания разбора решения задания.
*размещая тексты в комментариях ниже, вы автоматически соглашаетесь с пользовательским соглашением