Упр.752 ГДЗ Макарычев Миндюк 9 класс (Алгебра)
Решение #1
Решение #2

Рассмотрим вариант решения задания из учебника Макарычев, Миндюк, Нешков 9 класс, Просвещение:
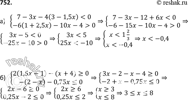
752 Решите систему неравенств:
а) система
(7-3x - 4(3 - 1,5x) < 0,
-6(1 + 2,5x) - 10x- 4 > 0;
б) система
2(1,5x-1)-(x+4)>0,
-(2-x)-0,75x<=0.
*размещая тексты в комментариях ниже, вы автоматически соглашаетесь с пользовательским соглашением