Упр.959 ГДЗ Макарычев Миндюк 9 класс (Алгебра)

Решение #1

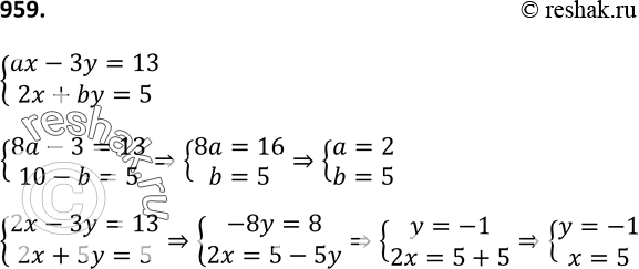
Изображение 959. Решите систему уравненийсистемаах - Зу = 13,2х + by = 5с переменными х и у, если одним из решений первого уравне ния является пара чисел (8; 1), а второго —...

Решение #2

Изображение 959. Решите систему уравненийсистемаах - Зу = 13,2х + by = 5с переменными х и у, если одним из решений первого уравне ния является пара чисел (8; 1), а второго —...
Загрузка...

Рассмотрим вариант решения задания из учебника Макарычев, Миндюк, Нешков 9 класс, Просвещение:
959. Решите систему уравнений
система
ах - Зу = 13,
2х + by = 5
с переменными х и у, если одним из решений первого уравне ния является пара чисел (8; 1), а второго — пара чисел (5; -1)
*Цитирирование задания со ссылкой на учебник производится исключительно в учебных целях для лучшего понимания разбора решения задания.
*размещая тексты в комментариях ниже, вы автоматически соглашаетесь с пользовательским соглашением