Упр.1349 ГДЗ Алимов 10-11 класс (Алгебра)
Решение #1
Решение #2

Рассмотрим вариант решения задания из учебника Алимов, Колягин, Ткачёва 11 класс, Просвещение:
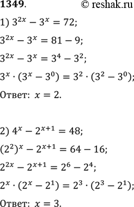
1349 1) 3^2x - 3x=72;
2) 4x - 2^(x+1) -48.
*размещая тексты в комментариях ниже, вы автоматически соглашаетесь с пользовательским соглашением