Упр.401 ГДЗ Алимов 10-11 класс (Алгебра)
Решение #1
Решение #2

Рассмотрим вариант решения задания из учебника Алимов, Колягин, Ткачёва 10 класс, Просвещение:
Решить уравнение (401—403).
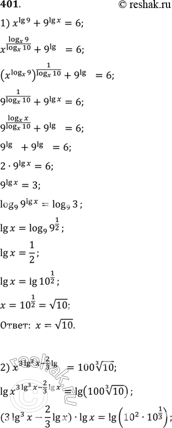
401 1)xlg9+9lgx=6;
2) x^(3lg^3(x) - 2/3lgx)=100 корень 3 степени 10.
*размещая тексты в комментариях ниже, вы автоматически соглашаетесь с пользовательским соглашением