Упр.664 ГДЗ Алимов 10-11 класс (Алгебра)
Решение #1
Решение #2

Рассмотрим вариант решения задания из учебника Алимов, Колягин, Ткачёва 10 класс, Просвещение:
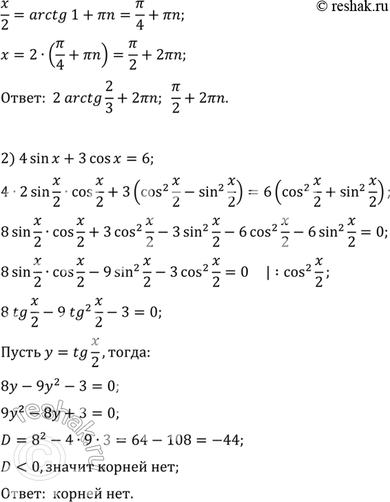
664 1) 5 sin x + cos x = 5;
2) 4 sin x + 3 cos x = 6.
*размещая тексты в комментариях ниже, вы автоматически соглашаетесь с пользовательским соглашением