Упр.1367 ГДЗ Алимов 10-11 класс (Алгебра)
Решение #1
Решение #2

Рассмотрим вариант решения задания из учебника Алимов, Колягин, Ткачёва 11 класс, Просвещение:
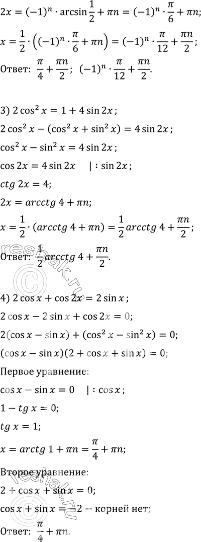
1367 1)sin2x=3cosx;
2) sin4x=cos4x-si4x;
3)2cos2x=1+4sin2x;
4) 2cosx + cos2x = 2sinx.
*размещая тексты в комментариях ниже, вы автоматически соглашаетесь с пользовательским соглашением