Упр.1363 ГДЗ Алимов 10-11 класс (Алгебра)
Решение #1
Решение #2

Рассмотрим вариант решения задания из учебника Алимов, Колягин, Ткачёва 11 класс, Просвещение:
Решить уравнение (1363—1385).
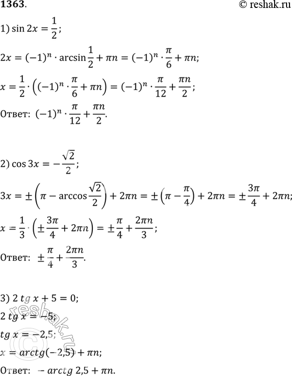
1363 1) sin2x=1/2;
2) cos3x=-корень 2/2;
3) 2tgx+5=0.
*размещая тексты в комментариях ниже, вы автоматически соглашаетесь с пользовательским соглашением