Упр.1371 ГДЗ Алимов 10-11 класс (Алгебра)
Решение #1
Решение #2

Рассмотрим вариант решения задания из учебника Алимов, Колягин, Ткачёва 11 класс, Просвещение:
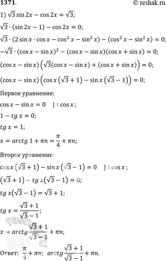
1371 1) (корень 3) sin 2 х - cos 2x = корень 3;
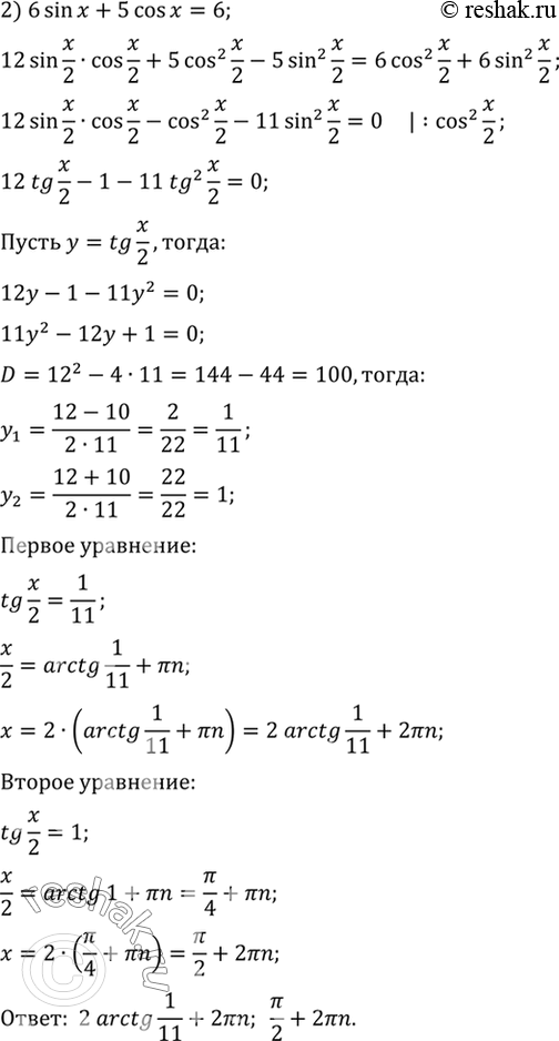
2) 6 sin x + 5 cosx = 6.
*размещая тексты в комментариях ниже, вы автоматически соглашаетесь с пользовательским соглашением