Упр.1373 ГДЗ Алимов 10-11 класс (Алгебра)
Решение #1
Решение #2

Рассмотрим вариант решения задания из учебника Алимов, Колягин, Ткачёва 11 класс, Просвещение:
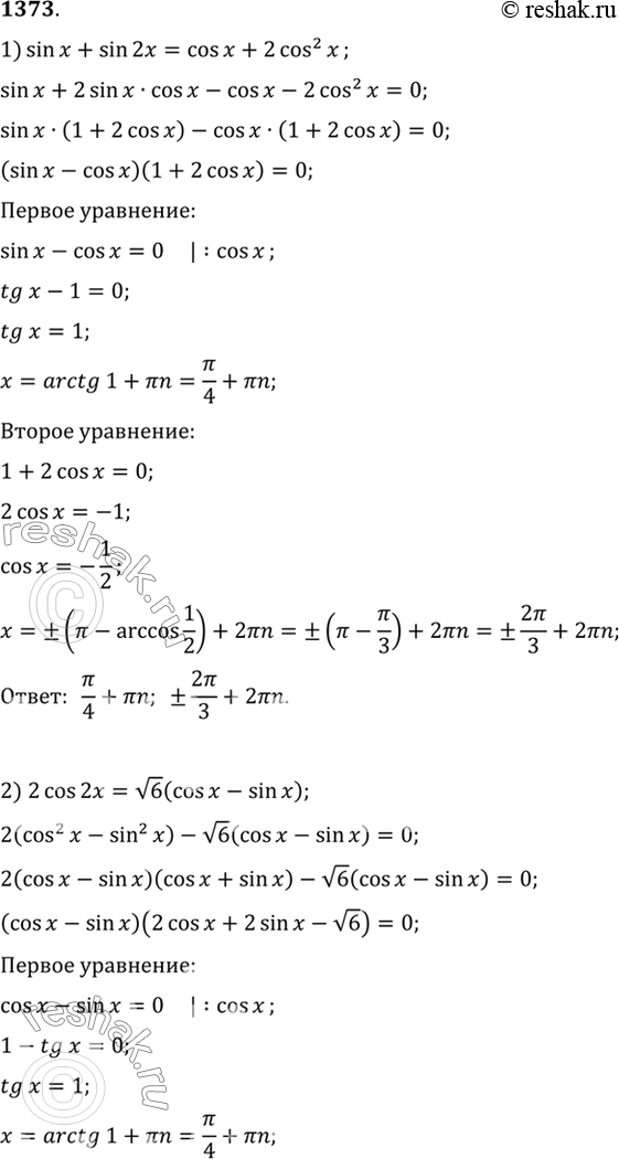
1373 1) sin x + sin 2x = cos x + 2 cos2 x;
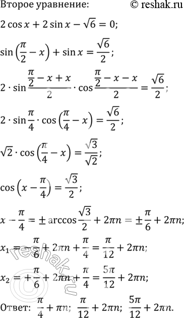
2) 2 cos 2x - (корень 6) (cos x - sin x).
*размещая тексты в комментариях ниже, вы автоматически соглашаетесь с пользовательским соглашением