Упр.986 ГДЗ Макарычев Миндюк 9 класс (Алгебра)
Решение #1
Решение #2

Рассмотрим вариант решения задания из учебника Макарычев, Миндюк, Нешков 9 класс, Просвещение:
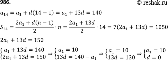
986. В арифметической прогрессии четырнадцатый член равен 140, а сумма первых четырнадцати членов равна 1050. Найдите первый член и разность этой прогрессии.
*размещая тексты в комментариях ниже, вы автоматически соглашаетесь с пользовательским соглашением