Упр.992 ГДЗ Макарычев Миндюк 9 класс (Алгебра)
Решение #1
Решение #2

Рассмотрим вариант решения задания из учебника Макарычев, Миндюк, Нешков 9 класс, Просвещение:
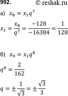
992. Последовательность (хn) — геометрическая прогрессия. Найдите:
а) х1, если х8 = -128 и q = -4; б) q, если х1 = 162 и х9 = 2.
*размещая тексты в комментариях ниже, вы автоматически соглашаетесь с пользовательским соглашением