Упр.990 ГДЗ Макарычев Миндюк 9 класс (Алгебра)
Решение #1
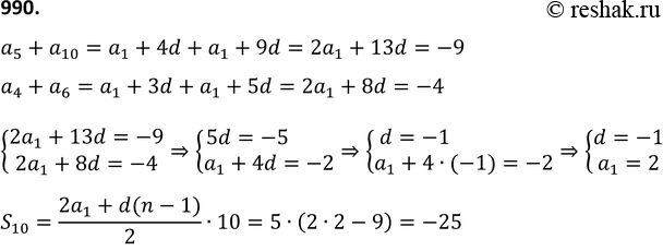
Решение #2

Рассмотрим вариант решения задания из учебника Макарычев, Миндюк, Нешков 9 класс, Просвещение:
990. В арифметической прогрессии (аn) сумма пятого и десятого членов равна -9, а сумма четвёртого и шестого членов равна -4. Найдите сумму первых десяти членов этой прогрессии.
*размещая тексты в комментариях ниже, вы автоматически соглашаетесь с пользовательским соглашением