Упр.987 ГДЗ Макарычев Миндюк 9 класс (Алгебра)
Решение #1
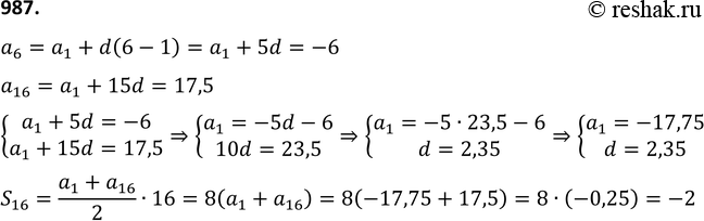
Решение #2

Рассмотрим вариант решения задания из учебника Макарычев, Миндюк, Нешков 9 класс, Просвещение:
987. Последовательность (аn) — арифметическая прогрессия. Изве стно, что а6 = -6 и а16 = 17,5. Найдите сумму первых шестнадцати членов этой прогрессии.
*размещая тексты в комментариях ниже, вы автоматически соглашаетесь с пользовательским соглашением