Упр.993 ГДЗ Макарычев Миндюк 9 класс (Алгебра)
Решение #1
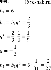
Решение #2

Рассмотрим вариант решения задания из учебника Макарычев, Миндюк, Нешков 9 класс, Просвещение:
993. Найдите пятый член геометрической прогрессии (bn), если известно, что b1 = 6 и b3 = 2/3.
*размещая тексты в комментариях ниже, вы автоматически соглашаетесь с пользовательским соглашением