Упр.1357 ГДЗ Алимов 10-11 класс (Алгебра)
Решение #1
Решение #2

Рассмотрим вариант решения задания из учебника Алимов, Колягин, Ткачёва 11 класс, Просвещение:
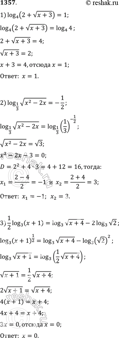
1357 1) log4(2+ корень (x+3))=1;
2) log1/3/ ((корень (x2-2x))=-1/2;
3)1/2log3(x+1)=log3 (корень (x+4) - 2log 3( корень 2).
*размещая тексты в комментариях ниже, вы автоматически соглашаетесь с пользовательским соглашением