Упр.1358 ГДЗ Алимов 10-11 класс (Алгебра)
Решение #1
Решение #2

Рассмотрим вариант решения задания из учебника Алимов, Колягин, Ткачёва 11 класс, Просвещение:
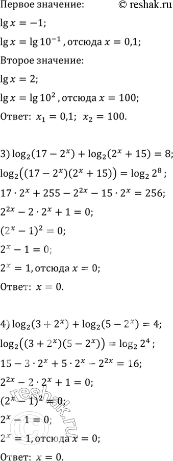
1358 1) x(1+lgx) =10x;
2) xlgx=100x;
3) log2(17-2x)+log2(2x+15) =8;
4) log2(3+2x)+log2(5-2x)=4.
*размещая тексты в комментариях ниже, вы автоматически соглашаетесь с пользовательским соглашением