Упр.1375 ГДЗ Алимов 10-11 класс (Алгебра)
Решение #1
Решение #2

Рассмотрим вариант решения задания из учебника Алимов, Колягин, Ткачёва 11 класс, Просвещение:
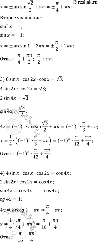
1375 1) sin3 x + cos3 x = 0;
2) 2 sin2 x + sin2 2x
3) 8 sin x cos 2x cos x= корень 3;
4) 4 sin x cos x cos 2x= cos 4x.
*размещая тексты в комментариях ниже, вы автоматически соглашаетесь с пользовательским соглашением