Упр.1377 ГДЗ Алимов 10-11 класс (Алгебра)
Решение #1
Решение #2

Рассмотрим вариант решения задания из учебника Алимов, Колягин, Ткачёва 11 класс, Просвещение:
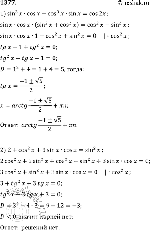
1377 1) sin3 x cos x + cos3 x sin x = cos 2x;
2) 2 + cos2 x + 3 sin x cos x = sin2 x.
*размещая тексты в комментариях ниже, вы автоматически соглашаетесь с пользовательским соглашением