Упр.1376 ГДЗ Алимов 10-11 класс (Алгебра)
Решение #1
Решение #2

Рассмотрим вариант решения задания из учебника Алимов, Колягин, Ткачёва 11 класс, Просвещение:
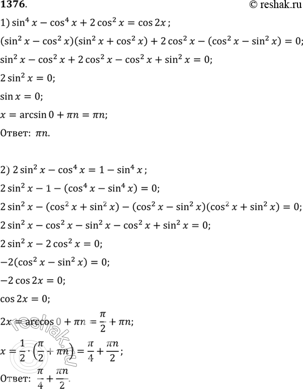
1376 1) sin4 x - cos4 x + 2 cos2 x = cos 2x;
2) 2 sin2 x - cos4 x = 1 - sin4 x.
*размещая тексты в комментариях ниже, вы автоматически соглашаетесь с пользовательским соглашением