Упр.1381 ГДЗ Алимов 10-11 класс (Алгебра)
Решение #1
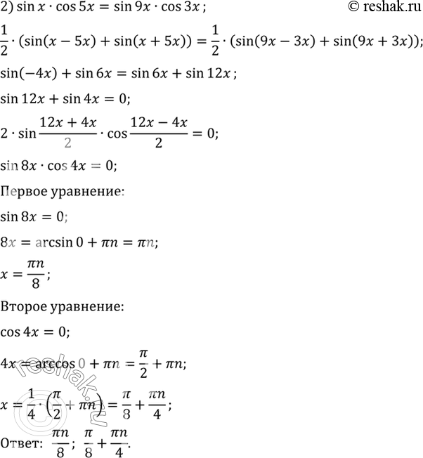
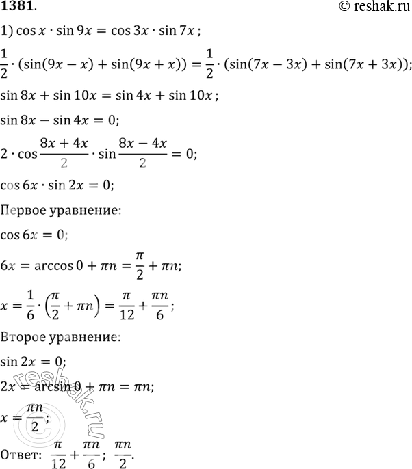
Решение #2

Рассмотрим вариант решения задания из учебника Алимов, Колягин, Ткачёва 11 класс, Просвещение:
1381 1) cos x sin 9x = cos 3x sin7x;
2) sin x cos 5x = sin 9x cos 3x.
*размещая тексты в комментариях ниже, вы автоматически соглашаетесь с пользовательским соглашением