Упр.1379 ГДЗ Алимов 10-11 класс (Алгебра)
Решение #1
Решение #2

Рассмотрим вариант решения задания из учебника Алимов, Колягин, Ткачёва 11 класс, Просвещение:
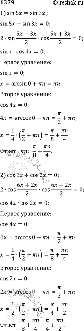
1379 1) sin 5x - sin 3x;
2) cos 6x + cos 2x = 0;
3) sin 3x + cos 7x = 0;
4) sin x = cos 5x.
*размещая тексты в комментариях ниже, вы автоматически соглашаетесь с пользовательским соглашением